• Предмет: Математика
  • Автор: ingridistomina
  • Вопрос задан 2 года назад

Помогите пожалуйста сделать 83 упражнение дам максимально много баллов, пожалуйста, это срочно!

Приложения:

Ответы

Ответ дал: parus77
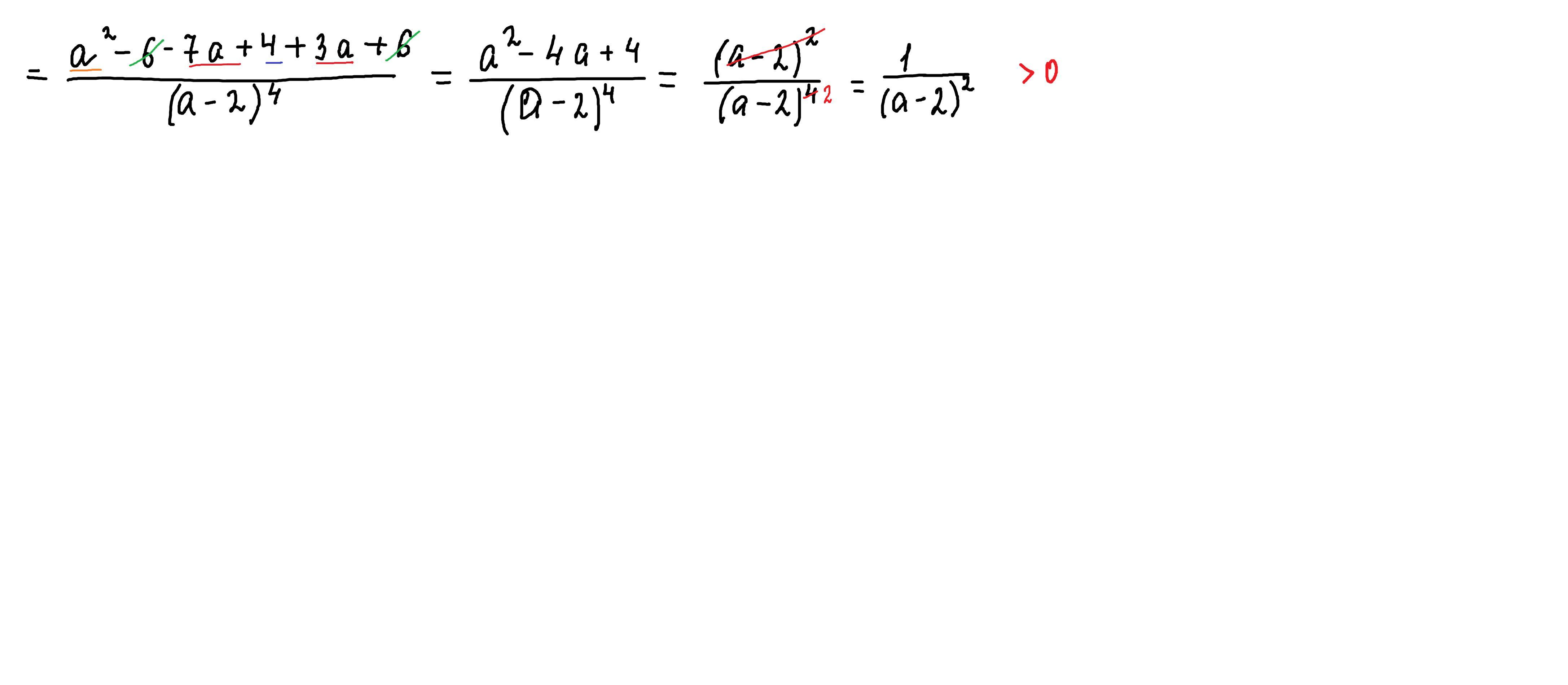
1

Ответ:

Пошаговое объяснение:

после упрощения получаем выражение,в знаменателе которого есть квадрат,а квадрат это положительное  число.

Приложения:
Вас заинтересует