Ответы
Ответ дал:
1
Ответ:
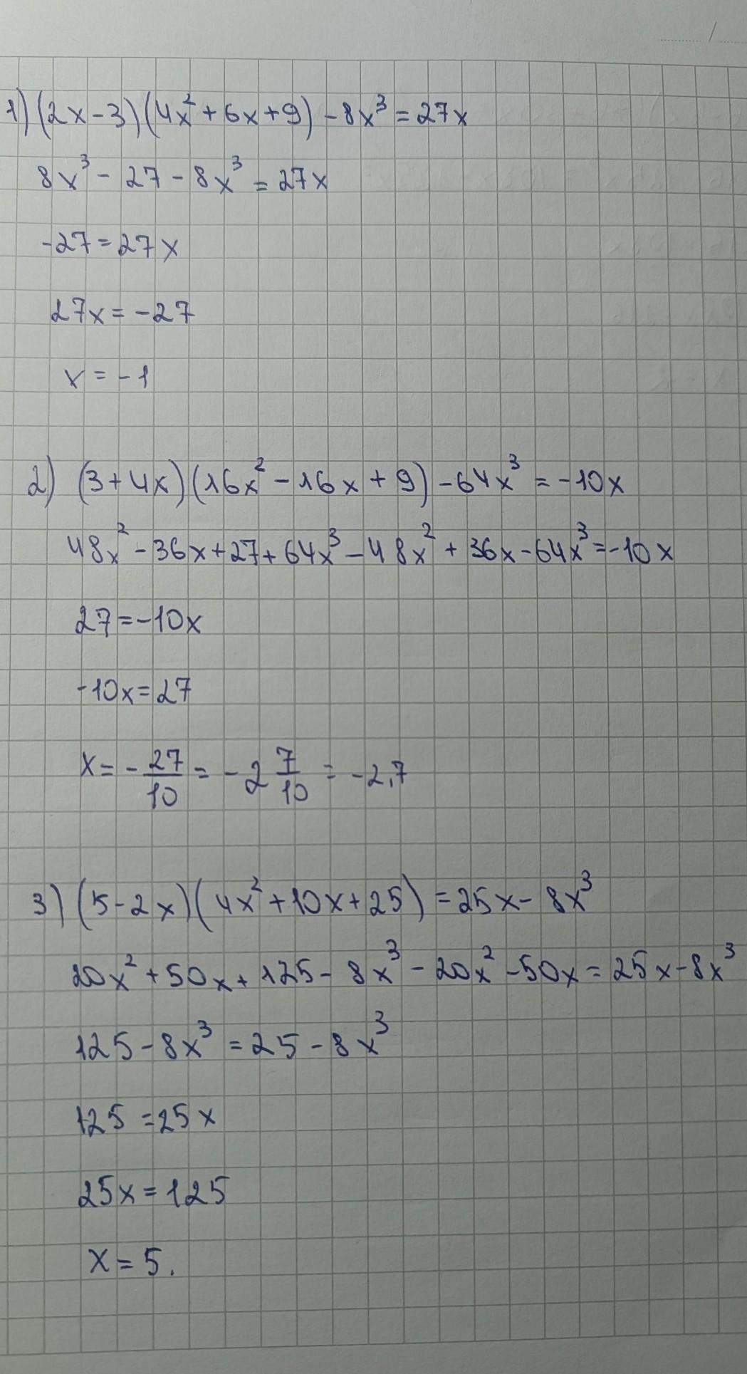
используем такие формулы:
(а³+в³)=(а+в)(а²-ав+в²)
(а³-в³)=(а-в)(а²+а-в+в²)
Приложения:


kamilanurm290:
Спасибо большое
Вас заинтересует
1 год назад
1 год назад
1 год назад
1 год назад
2 года назад
2 года назад
8 лет назад