• Предмет: Геометрия
  • Автор: karabazadaria
  • Вопрос задан 1 год назад

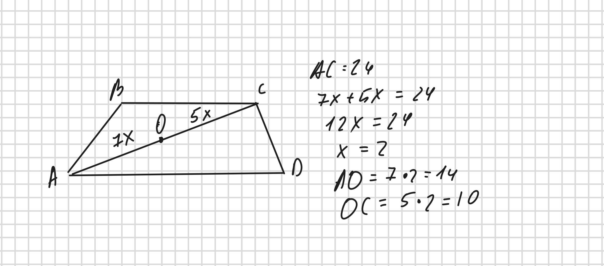
у трапеції АВСД АС-24см і АО:ОС=7:5. знайти: АО,ОС

Ответы

Ответ дал: qvertyq1
1

Ответ:

Дай лучший ответ пж

Объяснение:

Приложения:
Вас заинтересует