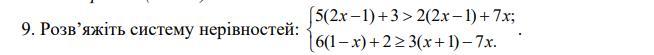
Розв’яжіть систему нерівностей:
Приложения:

hackkotik228:
Можна кращу відповідь? будь ласка
Ответы
Ответ дал:
1
Объяснение:
пояснення і розв'язання на фото
Приложения:

Ответ дал:
1
Відповідь: x є (-∞;0)
x є (-∞;0)
Вас заинтересует
1 год назад
1 год назад
1 год назад
2 года назад
2 года назад
8 лет назад