• Предмет: Математика
  • Автор: Аноним
  • Вопрос задан 10 лет назад

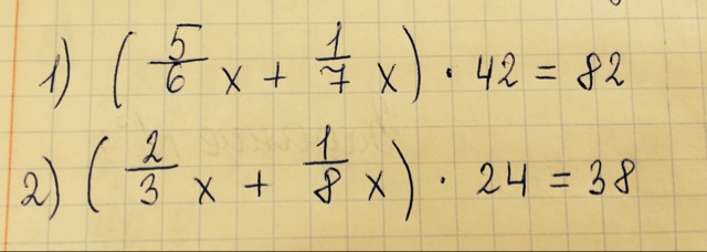
Помагите пожайлуста решить уравнения!
Буду вам очень благодарна!

Приложения:

Ответы

Ответ дал: Lina050
0
Сначала раскрываешь скобки.
получается 
35x+6x=82
41x=82
x=2
Ответ: 2.

Ответ дал: Lina050
0
Да
Ответ дал: Аноним
0
спасибо)
Ответ дал: Lina050
0
Все получилось?
Ответ дал: Аноним
0
ну да ,во обеих уравнениях х=2
Ответ дал: FriendlyCat
0
35х+6х=82
41х=82
х=2
Ответ: х=2

16х+3х=38
19х=38
х=2
Ответ: х=2
Вас заинтересует