Ответы
Ответ дал:
0
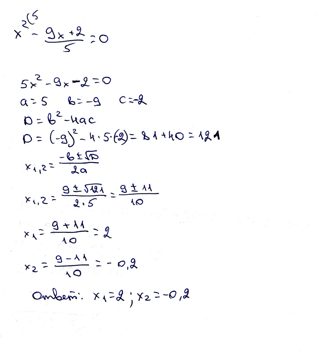
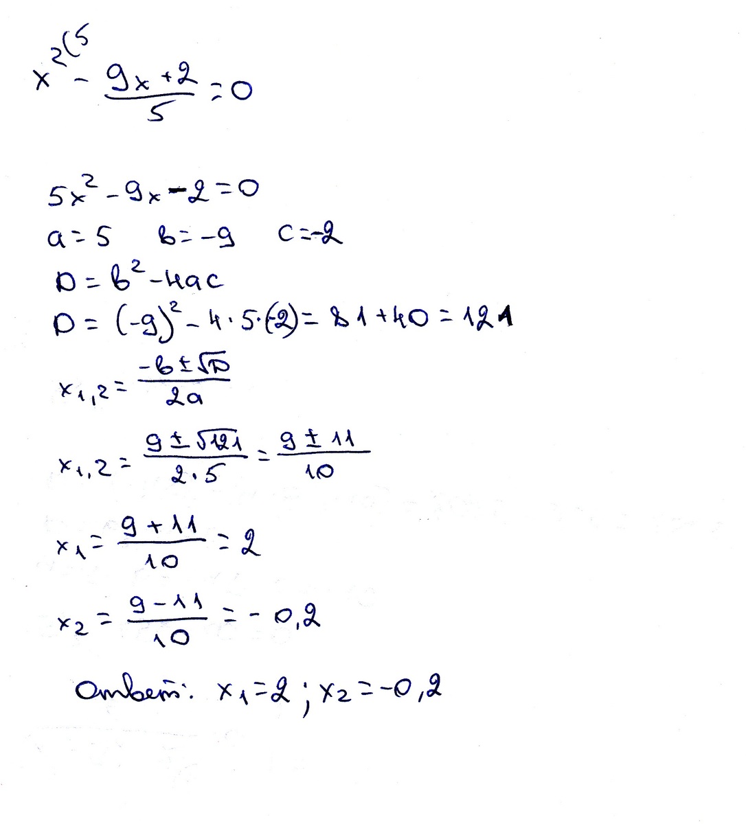
5х^2-9х-2=0
D=81+40=121
х1=(9-11)/10=-0,2
x2=(9+11)/10=2
Ответ дал:
0
Делать нечего все равно. Я написала тебе подробное решение. Посмотри.
Приложения:


Вас заинтересует
2 года назад
2 года назад
8 лет назад
8 лет назад
10 лет назад