Ответы
Ответ дал:
0
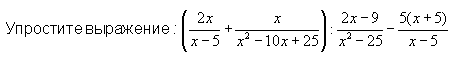
в конечном итоге получается ответ х+5
Ответ дал:
0
как-то так получается
Приложения:

Вас заинтересует
2 года назад
2 года назад
10 лет назад
10 лет назад