• Предмет: Алгебра
  • Автор: nastya14569
  • Вопрос задан 10 лет назад

решите уравнение с решением пож прошу срочно

Приложения:

Ответы

Ответ дал: nafanya2014
0
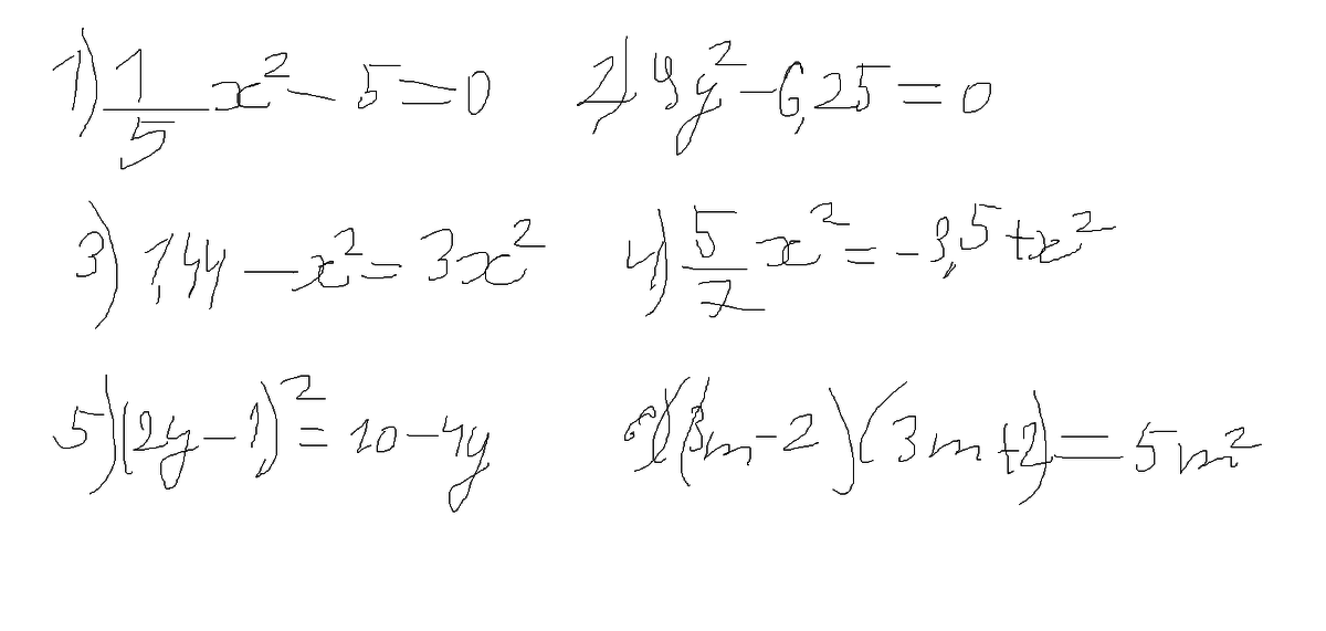
1) frac{1}{5}  x^{2} =5Rightarrow  x^{2} =25,  \ x_{1} =-5; \ x_{2} =5 \ 
2)9y ^{2}= frac{25}{4}Rightarrow  y^{2} = frac{25}{36} ,  \ y_{1} = -frac{5}{6}; \ y_{2}= frac{5}{6} \ 3)1,44=4 x^{2} Rightarrow  x^{2} = frac{1,44}{4}\x_{1} =- frac{1,2}{2}=-0,6 ; \ x_{2} =frac{1,2}{2}=0,6.  \ 4) frac{5}{7}  x^{2} =-3,5+ x^{2} , \ frac{5}{7}  x^{2}- x^{2}  =-3,5 \ -  frac{2}{7}  x^{2} =-3,5 \  x^{2} = frac{49}{4} \  x_{1} =- frac{7}{2}=-3,5 ; \ x_{2} =frac{7}{2}=3,5.
5)(2y-1) ^{2}=10-4y, \ 4y ^{2}-4y+1-10+4y=0, \ 4y^{2}=9=0, \ 
y^{2}= frac{9}{4} , \  y_{1} =- frac{3}{2}=-1,5 ; \ y_{2} 
=frac{3}{2}=1,5, \ 6)(3m-2)(3m+2)=5m ^{2} , \ 9m ^{2}-4=5m^{2} \ 4m 
^{2}=4 \ m_{1} =-1 ; \ m_{2} =1.



Вас заинтересует