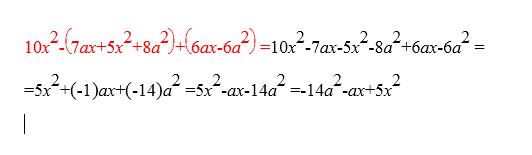
приведите выражение к многочлену стандартного вида 10x в квадрате -(7ax+5xв квадрате+8a квадрате)+(6ax-6a в квадрате)
Ответы
Ответ дал:
0
========================================================
Приложения:

Вас заинтересует
2 года назад
2 года назад
8 лет назад
10 лет назад
10 лет назад
10 лет назад