Ответы
Ответ дал:
0
log₃(log₄x)=0
log₄x=3⁰
log₄x=1
x=4¹=4.
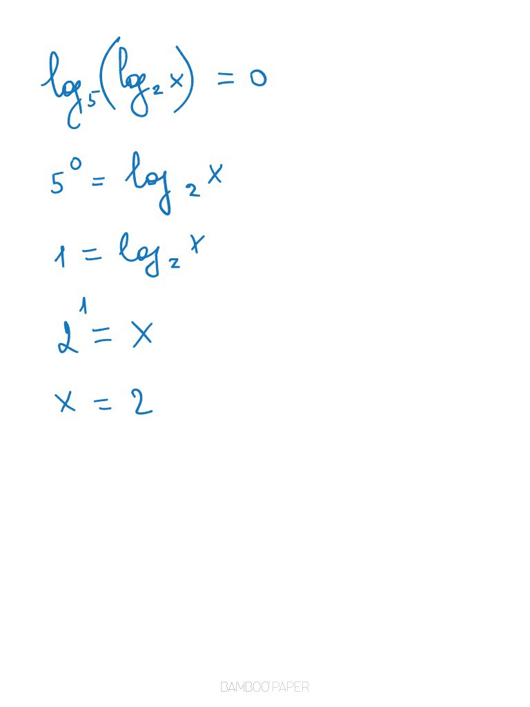
log₅(log₂x)=0
log₂x=5⁰
log₂x=1
x=2¹=2.
log₄x=3⁰
log₄x=1
x=4¹=4.
log₅(log₂x)=0
log₂x=5⁰
log₂x=1
x=2¹=2.
Ответ дал:
0
Решение данных уравнений
Приложения:


Ответ дал:
0
http://znanija.com/task/19130911
Ответ дал:
0
вы так хорошо объясняете
Ответ дал:
0
спасибо вам большое
Ответ дал:
0
спасибо и Вам)
Ответ дал:
0
напишите пожалуйста.мне очень нужно
Вас заинтересует
2 года назад
9 лет назад
9 лет назад
10 лет назад
10 лет назад