• Предмет: Математика
  • Автор: Jacksoon95
  • Вопрос задан 8 лет назад

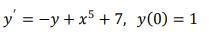
Просьба помочь с решением уравнения! 81б Найти первые три ненулевых члена разложения в ряд Маклорена решения
данного дифференциального уравнения.

Приложения:

Ответы

Ответ дал: Segrif
0

y(x) = a0 + a1 * x + a2 * x^2 + ...

y(0) = a0 = 1

y' = -y + x^5 + 7

a1 + 2*a2*x + 3*a3*x^2 + ... = (7-a0) - a1*x - ... - a4*x^4 + (1 - a5)*x^5 - a6*x^6 - ...

a0 = 1

a1 = 7 - a0 = 6

2*a2 = -a1 = -6 -> a2 = -3

y = 1 + 6x - 3x^2 + ...

Вас заинтересует