• Предмет: Математика
  • Автор: mmamaev999
  • Вопрос задан 2 года назад

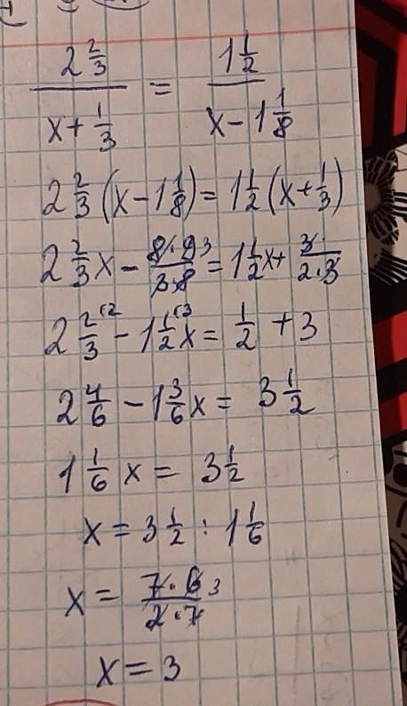
решите уравнение используя основное свойство пропорции дам 20 баллов​

Приложения:

Ответы

Ответ дал: сок111213
1

решение уравнения на прикреплённой фотографии

Приложения:
Вас заинтересует