1)Взаємодія бензену з хлором при світлі та під дією каталізатора ферум 3 хлорид;
2)Горіння бензену;
3)Нітрування бензену.
Ответы
Ответ дал:
16
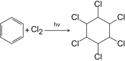
Взаємодія бензену з хлором при освітленні (рис. 1)
Взаємодія бензену з хлором під дією каталізатора (рис. 2)
Горіння бензену (повне) (рис. 3)
Нітрування бензену (рис. 4)
Взаємодія бензену з хлором під дією каталізатора (рис. 2)
Горіння бензену (повне) (рис. 3)
Нітрування бензену (рис. 4)
Приложения:




Вас заинтересует
1 год назад
1 год назад
2 года назад
3 года назад
3 года назад
8 лет назад